Introduction
This publication contains results from the October 1998 State Supplementary Survey, Household Safety. The survey aimed to gather information on the presence of a range of household safety devices, as well as usage and purchase patterns of nursery furniture in New South Wales households.
The survey also sought to measure changes with respect to the use of smoke alarms and electrical safety switches since another ABS survey carried out in 1992.
Summary of Findings
HOUSEHOLD safety devices
Smoke alarms
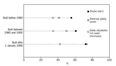
In October 1998, an estimated 1,382,900 households had a smoke alarm, this being 58% of households in NSW. Of these, 81% had all battery powered alarms and 15% all mains powered alarms. Most households (94%) had all of their smoke alarms working. Of those households in Sydney, 55% had a smoke alarm. This proportion has increased from 10% of Sydney households in 1992.
In October 1998 in NSW, smoke alarm installation was higher in dwellings built after 1 January 1990 (72%) compared to those built between 1980 and 1990 (61%) and before 1980 (55%). This difference may partly reflect legislation brought in since July 1994 requiring that new housing construction be fitted with an automatic fire detection system.
Smoke alarm installation varied with respect to a number of household characteristics. Of those households living in a separate house, 63% had a smoke alarm compared to 39% of those living in a flat or apartment. Installation was higher in homes which were owned or being bought (63%) than those rented (48%). In those households with no children aged 0-4, 54% had a smoke alarm compared to 65% of households with children usually resident and 66% of households with children visiting in the last four weeks.
Reasons for not having a smoke alarm varied depending on whether a home was owned/being bought or rented. Of those households renting, 69% said the main reason for not having an alarm was that it was a "rental property or landlord's responsibility". For those households who owned or were buying their own home the most common reasons for not having an alarm were, "haven't got around to buying one" (47%), followed by "not required or unnecessary" (16%).
Electrical safety switches
In October 1998, an estimated 1,103,100 households had an electrical safety switch, this being 47% of households in NSW. The majority of these households had at least one switch located in a fuse or meter box (91%). Of those households in Sydney, 49% had a safety switch. This proportion has increased from 21% of Sydney households in 1992.
In October 1998 in NSW, dwellings built after 1 January 1990 were more likely to have an electrical safety switch (74%) than those built between 1980 and 1990 (50%) and before 1980 (41%). Again this difference may partly reflect legislation brought in since July 1990 requiring that new housing construction in NSW be fitted with safety switches.
As for smoke alarms, safety switch installation varied with tenure type. Households who owned or were buying their own home were more likely to have a safety switch (54%) than those households renting (29%). Moreover, only 6% of households who owned or were buying their own home did not know whether a safety switch was installed compared to 21% of households renting.
Reasons for not having a safety switch varied depending on whether a home was owned/ being bought or rented. Of those households renting, 75% said the main reason for not having a safety switch was that it was a "rental property or landlords' responsibility". For those households who owned or were buying their own home the most common reasons for not having a safety switch were "haven't got around to buying one" (34%), followed by "never thought about it" (31%).
Hot water temperature thermostats
In October 1998 in NSW, an estimated 834,900 or 35% of households said they had an easily adjustable hot water system. Around 873,600 or 37% of households did not have an easily adjustable hot water system and a further 660,900 or 28% did not know whether their hot water system allowed for the temperature to be easily adjusted. Of those households that did have an easily adjustable hot water system, 40% had adjusted their temperature. This proportion was higher in households with gas hot water systems (58%), compared to solar powered (35%) and electric hot water systems (29%).
Graph 1 - Households with selected safety devices
Graph 2 - Presence of safety devices by age of dwelling

Nursery furniture– households with children
Selected nursery furniture
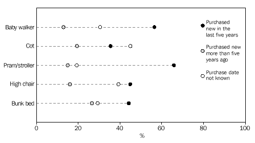
Of the 891,200 households in NSW in which young children aged 0-4 were either usually resident or visitors to the household in the previous four weeks, 41% had a pram or stroller, 39% a cot, 33% a high chair, 13% a bunk bed and 8% a baby walker. The proportion of households purchasing these items new in the last five years ranged from 36% of households with a cot through to 66% of households with a pram.
Pram or stroller
Of those households with a pram or stroller, 248,700 or 69% had used their pram or stroller in the last four weeks. Around 76% of prams or strollers used in the last four weeks were purchased new in the last five years, compared to 43% of those not used. The majority of prams or strollers that had a shoulder harness restraint attached were purchased new in the last five years (73%), with a further 11% purchased new more than five years ago. For those prams or strollers that did not have a shoulder harness restraint attached, 34% were purchased new in the last five years, and 30% new more than five years ago
High chair
Of those households with a high chair, 181,900 or 62% had used their high chair in the last four weeks. Just over half (54%) of high chairs used in the last four weeks were purchased new in the last five years, compared to 31% of those that were not used in the last four weeks. For those high chairs with a shoulder harness restraint attached, 60% were purchased new in the last five years and 12% were purchased new more than five years ago. For those high chairs that did not have a shoulder harness restraint attached, 30% were purchased new in the last five years, and 20% were purchased new more than five years ago.
Baby walker
Of the 69,600 households with a baby walker 21,800 or 31% had stairs or steps present inside the home. Around 24,500 or 35% of households with a babywalker had used the baby walker in the last four weeks.
Graph 3 - When nursery furniture purchased
