1338.1 - NSW State and Regional Indicators, Sep 2010  
ARCHIVED ISSUE Released at 11:30 AM (CANBERRA TIME) 19/10/2010   
   Page tools: Print Print Page Print all pages in this productPrint All

TRANSPORT

Data cubes with detailed statistics are available on the Downloads page.


INTRODUCTION

Transport is a fundamental aspect of an advanced economy and has considerable social, economic and environmental impacts. Effective transport systems contribute to economic prosperity as well as providing benefits to individuals through access to a greater range of employment, residential, holiday and entertainment opportunities. Adverse impacts include road crashes, traffic congestion, emissions pollution and traffic noise.


MOTOR VEHICLE TRANSPORT

In 2009 there were 4.6 million motor vehicles, including motor cycles, registered in NSW (an average of 645 vehicles per 1,000 residents). This was an increase of 12.4% in the five years since 2004, an average annual growth rate of 2.4%.

While passenger vehicles comprised the largest vehicle type, representing nearly 80% (3.6 million) of the total NSW vehicle fleet, motorcycles recorded the highest increases, up 11.6% in the last year and with an average annual growth rate of 9.0% since 2004.


TYPE OF VEHICLE, Average annual change—Between census years 2004 and 2009
Graph: TYPE OF VEHICLE, Average annual change—Between census years 2004 and 2009


In 2009 there were 4.7 million registered motor vehicle licence holders in NSW (representing 83% of persons aged 16 years and over). The 2007 ABS Survey of Motor Vehicle Use showed that NSW registered motor vehicles travelled an average of 15,000 kilometres in the 12 months to October 2007.

There were 374 road transport fatalities and over 24,000 people injured in road transport incidents in NSW in 2008. While males accounted for the majority (76%) of all road transport fatalities, they represented only slightly more than half (54%) of the people injured in road transport incidents. Nearly one in four road transport fatalities involved people 15–24 years of age.

The rate of road transport related deaths, injuries and accidents in NSW has been declining since the 1970s. Between 2000 and 2008 transport fatalities declined from 9.3 per 100,000 persons to 5.3 per 100,000 (–43%). There was a 38% decrease in the number of fatalities, a 17% decrease in injuries and a 19% decrease in people involved in accidents between 2000 and 2008.

The factors contributing to accidents have also changed. The percentage of accidents in which alcohol was a contributing cause has declined from 7.1% in 1990 to 4.3% in 2008 while speed as a contributing cause increased over the same period from 13% to 17% and fatigue as a contributing cause has increased from 7.3% to 8.8%.

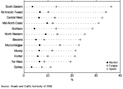
Fatality rates and contributing causes to accidents varied considerably between regions during 2008. Sydney had the lowest fatality rate of the regions at 2.9 per 100,000 persons. The contributing causes of speed, alcohol and fatigue to accidents were lower in Sydney than the rest of the state.

The South Eastern Statistical Division had the highest overall fatality rate at 14.1 per 100,000 persons while the Mid-North Coast Statistical Division had the highest contribution of alcohol to accidents (9.7% of accidents). Speed as a contributing cause was highest in the South Eastern Statistical Division (36%) while fatigue as a contributing cause to accidents was highest in the Murrumbidgee Statistical Division (15%). In all, 248 of the state's 374 road transport fatalities in 2008 occurred outside of Sydney.

ROAD TRAFFIC CASUALTIES AND CRASHES, By contributing factor, NSW Statistical Divisions – 2008
Graph: ROAD TRAFFIC CASUALTIES AND CRASHES, By contributing factor, NSW Statistical Divisions - 2008


TRAVEL IN SYDNEY

The 2008 Household Travel Survey showed that private vehicles were the most frequently used mode of transport for weekday trips for all age groups in the Sydney Statistical Division (68%). Private vehicle travel was the highest for children aged 0 to 10 years (80%) and lowest for those aged 11 to 20 years (55%). Among 11 to 20 year olds, their share of public transport use (26%) was greater than for other age groups mainly because of their usage for educational purposes. For those aged 21 to 30 years, their proportions of public transport use (17%) and walk only (21%) were comparatively higher than other age groups. Walking (27%) was the highest travel mode amongst the oldest age group (over 70 years).

On average weekday trips in 2008 in Sydney, males and females both recorded nearly equal proportions in using private vehicles (males 69% and females 68%) and public transport (males 12% and females 11%). Males recorded proportionally less walking on average weekday trips than females (males 17% and females 19%).

The 2008 NSW State Supplementary Survey showed that, within the Sydney Major Statistical Region, nearly three quarters (73%) of employed people typically travelled by motor vehicle at least part of the journey to their current suburb of employment and more than a quarter (27%) used public transport for at least part of the journey.

The proportion of people using a motor vehicle to get to work was highest for those working in Outer South Western Sydney (89%) and lowest for those working in Inner Sydney (42%). Inner Western Sydney had the highest proportion of people using public transport (50%) and was the only area where the proportion of people using public transport was greater than the proportion of people using a motor vehicle (45%). One in five people in Inner Sydney used a bicycle and/or walked to work for at least part of the journey to work.


WORKING POPULATION AND USUAL RESIDENCE

The 2006 Census of Population and Housing showed that in within the Sydney Statistical Division (SD), the largest working population was in the Sydney LGA with 357,800 people, followed by Parramatta (88,800 people), Blacktown (78,000 people), North Sydney (60,100 people), Bankstown (58,600 people) and Ryde (58,300 people). Outside of Sydney, the largest working populations were in Newcastle (81,100 people), Wollongong (70,000 people) and Lake Macquarie (47,400 people).

LGAs where the working population was larger than that usually resident were Sydney (357,800 working population), Botany Bay (39,800 working population) and North Sydney (60,100 working population). Other LGAs which had a large working population as a proportion of those usually resident in the area were Willoughby (81%), Auburn (63%) and Ryde (60%). Conversely, LGAs with a small working population as a proportion of those usually resident were Conargo (14%), Palerang (17%) and Canterbury (19%).


TRANSPORT BY AIR AND SEA

In 2008–09, the majority of air passenger movements in NSW occurred through Sydney's Kingsford Smith airport (over 32 million). Several regional airports also handled over a quarter of a million passenger movements in 2008–09, in descending order they were, Williamtown (Newcastle), Ballina, Coffs Harbour and Albury. Sydney airport also handled the majority of air transported imports and exports. However, in 2008–09 the majority of all trade into and out of NSW was by sea. The sea port of Sydney discharged the largest amount of merchandise (11.3 million tonnes) and Newcastle sea port loaded the largest amount for export (92.2 million tonnes).


Data cubes with detailed statistics are available on the Downloads page.


DATA SOURCES

ABS Census of Population and Housing

ABS International Trade data

Australian Demographic Statistics (cat. no. 3101.0)

Bureau of Infrastructure, Transport and Regional Economics (BITRE): Airport Traffic Data

Motor Vehicle Census, Australia (cat. no. 9309.0)

Bureau of Transport Statistics, Transport Data Centre, Household Travel Survey

Population by Age and Sex, Australian States and Territories (cat. no. 3201.0)

Population by Age and Sex, Regions of Australia (cat. no. 3235.0)

Residential and Workplace Mobility, and Implications for Travel: NSW and Vic. (cat. no. 3240.0)

Roads and Traffic Authority of NSW

Survey of Motor Vehicle Use: Data Cubes, Australia (cat. no. 9210.0.55.001)